共感で繋がるSNS
質問の内容
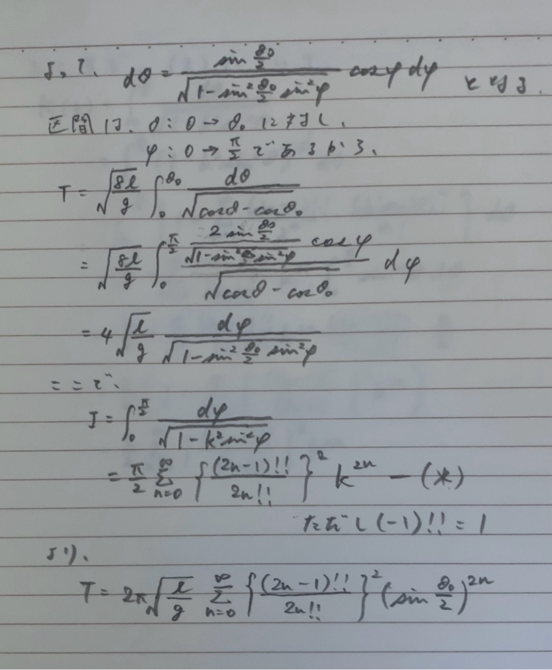
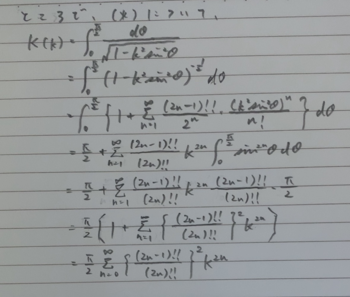
振り子の角度に依存する振り子の周期の導出方法(厳密解)^. .^ ੭ みんな1度は疑問に思ったことあるはず!!
自由に使ってくれていいよ!!
人気
新着
内容はありません
内容はありません